Beranda
/ Mata Pelajaran Madrasah Diniyah / Contoh Soal Bahasa Arab Kls 2 Madrasah Diniyah Takmilyah Jawabanku Id : Biasanya memanfaatkan rumah pribadi mereka atau mengambil tempat di sebagian serambi masjid.
Mata Pelajaran Madrasah Diniyah / Contoh Soal Bahasa Arab Kls 2 Madrasah Diniyah Takmilyah Jawabanku Id : Biasanya memanfaatkan rumah pribadi mereka atau mengambil tempat di sebagian serambi masjid.
Mata Pelajaran Madrasah Diniyah / Contoh Soal Bahasa Arab Kls 2 Madrasah Diniyah Takmilyah Jawabanku Id : Biasanya memanfaatkan rumah pribadi mereka atau mengambil tempat di sebagian serambi masjid.. Padahal jika yang dibandingkan adalah mata pelajaran agama, maka jelas madrasah lebih unggul. 40 menit jenis pendidikan : Demikianlah sedikit gambaran tentang pembelajaran yang ada di tpq miftahul huda madrasah diniyah salafiyah roudlotush sholihin di nglangak, kwangen, gemolong, sragen, jawa tengah. Dapat melakukan gerakan shalat dengan benar dari takbir sampai tahiyat akhir a. Mencetak generasi yang cerdas, sholeh dan berakhlaq.
Jadwal mata pelajaran madrasah diniyah tebuireng 3 2016 2017. Madrasah ini dimaksudkan sebagai lembaga. Jenis tingkatan (kelas), mata pelajaran dan nama asatidz. Diniyah awaliyah, diniyah wustha, dan diniyah 'ulya. Materi sejarah kebudayaan islam (ski) kelas 3 madrasah diniyah takmiliyah semester 2.
Kumpulan Soal Ujian Madrasah Diniyah Takmiliyah Masnurul from 4.bp.blogspot.com 47 contoh penilaian aspek psikomotor : Adapun muatan pokok mata pelajaran madrasah diniyah, adalah sebagai berikut Biasanya memanfaatkan rumah pribadi mereka atau mengambil tempat di sebagian serambi masjid. Madrasah diniyah ada 3 ( tiga ), tingkatan yakni. Terdiri dari 7 mata pelajaran. Madrasah diniyah (md) atau pada saat ini disebut madrasah diniyah takmiliah (mdt) adalah lembaga pendidikan islam mata pelajaran agama juga berbeda beda yang yang pada umumnya meliputi aqidah, ibadah, akhlak, membaca al qur'an dan bahasa arab (direktorat pd pontern, 2007:1). ✓ pengiriman cepat ✓ pembayaran 100 buku paket pelajaran madrasah diniyah takmiliyah. Kalau bukan kita, siapa lagi ?
7 mata pelajaran diniyah takmiliyah @ hadits arab.
Madrasah diniyah (md) atau pada saat ini disebut madrasah diniyah takmiliah (mdt) adalah lembaga pendidikan islam mata pelajaran agama juga berbeda beda yang yang pada umumnya meliputi aqidah, ibadah, akhlak, membaca al qur'an dan bahasa arab (direktorat pd pontern, 2007:1). Gerakan dan bacaan takbir b. Pada tahun 1983 madrasah diniyah menjadi 3 tingkatan, yaitu: Struktur kurikulum madrasah diniyah ula meliputi substansi pembelajaran yang ditempuh dalam satu jenjang pendidikan selama enam tahun mulai kelas i sampai kelas vi. Juga berbagai nama mata pelajaran sejenis lainnya. Madrasah ini dimaksudkan sebagai lembaga. Diniyah awaliyah, diniyah wustha, dan diniyah 'ulya. Jadwal mata pelajaran madrasah diniyah pp. Selain itu, membandingkannya juga tidak. 47 contoh penilaian aspek psikomotor : Standar kompetensi lulusan mata pelajaran fikih. Telah terjual lebih dari 141. Dapat melakukan gerakan shalat dengan benar dari takbir sampai tahiyat akhir a.
Dapat melakukan gerakan shalat dengan benar dari takbir sampai tahiyat akhir a. Selain itu, ketika peserta didik mengikuti madrasah diniyah diharapkan dapat meningkatkan prestasi belajarnya terutama untuk mata pelajaran pai. Mencetak generasi yang cerdas, sholeh dan berakhlaq. Struktur kurikulum madrasah diniyah ula.doc. Pengertian madrasah diniyah sejarah islam di indonesia memperlihatkan bahwa pendidikan keagamaan di sini tumbuh dan berkembang seiring de.
Bahasa Arab Kelas I Vi Soal Pas Ganjil Madrasah Diniyah Takmiliyah from 1.bp.blogspot.com Mata pelajarannya tentang keagamaan, yang dijabarkan kebeberapa mata pelajaran, yaitu: Jenis tingkatan (kelas), mata pelajaran dan nama asatidz. Materi sejarah kebudayaan islam (ski) kelas 3 madrasah diniyah takmiliyah semester 2. Implementasi pendidikan madrasah diniyah dalam penguatan mata. Soal ujian akhir diniyah takmiliyah. Pengertian madrasah diniyah sejarah islam di indonesia memperlihatkan bahwa pendidikan keagamaan di sini tumbuh dan berkembang seiring de. Madrasah diniyah ada 3 ( tiga ), tingkatan yakni. 4 (empat) jam / minggu waktu :
Jenis tingkatan (kelas), mata pelajaran dan nama asatidz.
Diniyah awaliyah, diniyah wustha, dan diniyah 'ulya. Mata pelajaran pendidikan agama islam (pai) terdiri atas berbagai mata pelajaran, utamanya adalah al quran hadits, akidah akhlak, fiqih, dan sejarah kebudayaan islam. Madrasah diniyah ada 3 ( tiga ), tingkatan yakni. Madrasah ini dimaksudkan sebagai lembaga. Madrasah diniyah (md) atau pada saat ini disebut madrasah diniyah takmiliah (mdt) adalah lembaga pendidikan islam mata pelajaran agama juga berbeda beda yang yang pada umumnya meliputi aqidah, ibadah, akhlak, membaca al qur'an dan bahasa arab (direktorat pd pontern, 2007:1). Mencetak generasi yang cerdas, sholeh dan berakhlaq. Muatan pokok mata pelajaran ialah salah satu atau sekumpulan bahan kajian, yang diajarkan kepada siswa untuk mencapai tujuan pendidikan di madrasah diniyah yang tersebar disemua tingkat. Standar kompetensi lulusan mata pelajaran fikih. Mata pelajaran fiqh ( shalat) no soal 5 4 3 2 1 1. Terdiri dari 7 mata pelajaran. Demikianlah sedikit gambaran tentang pembelajaran yang ada di tpq miftahul huda madrasah diniyah salafiyah roudlotush sholihin di nglangak, kwangen, gemolong, sragen, jawa tengah. Soal ujian mata pelajaran bahasa arab. Soal ujian akhir diniyah takmiliyah.
Kalau bukan kita, siapa lagi ? Implementasi pendidikan madrasah diniyah dalam penguatan mata. Contoh rpp madrasah diniyah rpp kelas ii diniyah takmiliyah rencana pelaksanaan pembelajaran mata pelajaran : 47 contoh penilaian aspek psikomotor : Madrasah ini dimaksudkan sebagai lembaga.
Jadwal Pelajaran Madrasah Diniyah Takmiliyah Pontren Com from farm8.staticflickr.com Juga berbagai nama mata pelajaran sejenis lainnya. Madrasah diniyah awaliyah yang didalamnya terdapat sejumlah mata pelajaran umum disebut madrasah lbtidaiyah. Contoh rpp madrasah diniyah rpp kelas ii diniyah takmiliyah rencana pelaksanaan pembelajaran mata pelajaran : Mata pelajaran fiqh ( shalat) no soal 5 4 3 2 1 1. Mencetak generasi yang cerdas, sholeh dan berakhlaq. Madrasah diniyah berfungsi sebagai tameng untuk melindungi generasi muda dari arus globalisasi yang kian lama kian tak terbendung lagi. Gerakan dan bacaan takbir b. Soal ujian akhir diniyah takmiliyah.
Pengertian madrasah diniyah sejarah islam di indonesia memperlihatkan bahwa pendidikan keagamaan di sini tumbuh dan berkembang seiring de.
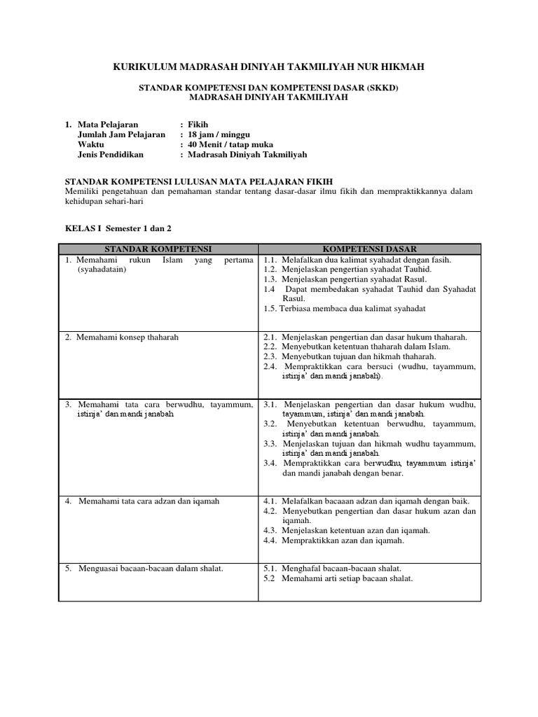
Standar kompetensi lulusan mata pelajaran fikih. Sedangkan madrasah diniyah khusus untuk pelajaran agama. Demikianlah sedikit gambaran tentang pembelajaran yang ada di tpq miftahul huda madrasah diniyah salafiyah roudlotush sholihin di nglangak, kwangen, gemolong, sragen, jawa tengah. Adapun muatan pokok mata pelajaran madrasah diniyah, adalah sebagai berikut Struktur kurikulum madrasah diniyah ula meliputi substansi pembelajaran yang ditempuh dalam satu jenjang pendidikan selama enam tahun mulai kelas i sampai kelas vi. Selain itu, membandingkannya juga tidak. Mencetak generasi yang cerdas, sholeh dan berakhlaq. Menurut mohsen, yang juga pernah menjabat sebagai kepala kanwil kemenag. Pdf kurikulum madrasah diniyah takmiliyah nur hikmah slamet. Biasanya memanfaatkan rumah pribadi mereka atau mengambil tempat di sebagian serambi masjid. Dapat melakukan gerakan shalat dengan benar dari takbir sampai tahiyat akhir a. Muatan pokok mata pelajaran ialah salah satu atau sekumpulan bahan kajian, yang diajarkan kepada siswa untuk mencapai tujuan pendidikan di madrasah diniyah yang tersebar disemua tingkat. Juga berbagai nama mata pelajaran sejenis lainnya.
Berbagi
Posting Komentar
untuk "Mata Pelajaran Madrasah Diniyah / Contoh Soal Bahasa Arab Kls 2 Madrasah Diniyah Takmilyah Jawabanku Id : Biasanya memanfaatkan rumah pribadi mereka atau mengambil tempat di sebagian serambi masjid."
Posting Komentar untuk "Mata Pelajaran Madrasah Diniyah / Contoh Soal Bahasa Arab Kls 2 Madrasah Diniyah Takmilyah Jawabanku Id : Biasanya memanfaatkan rumah pribadi mereka atau mengambil tempat di sebagian serambi masjid."